相関係数の検定の仕方

トップ アイコン
トップページヘもどる

1.母相関係数の検定
 データから得られた相関係数は統計量なので、母集団の相関係数(母相関係数)をこれから推定・検定することができます。
2.母相関係数がわかっているときの標本の相関係数の分布
 母相関係数ρ=0のときは、標本の相関係数rは次のtについて、自由度n-2のt分布をします。
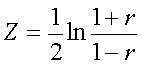
母相関係数ρ≠0のときは、標本の相関係数rは近似的に次のようなz変換によって正規分布に当てはめることができます。
は近似的に
に従う。
3.母相関係数に関する検定はふつう母相関係数ρ=0という帰無仮説を検定するものです。したがって、上の式のtを求めて、t検定すればよいのですが、面倒な計算をしなくても表を見ればよいように検定の表が作られています。
実験計画学の統計表p9に9.相関係数の分布のパーセント点(ρ=0の場合)という表があります。この表ではサンプル数n、自由度f=nー2のときに標本の相関係数が表の数字よりも大きければ、母相関係数ρ=0という帰無仮説が棄却されます。
サンプル数n 自由度f 両側確率.05 両側確率.01
10 8 .63190 .76459
例えばサンプル数10の行をみると下の表のような数字であることがわかります。ここから標本の相関係数が0.63190以上ならば、母相関係数は5%の有意水準で0でないことがわかります。また、標本の相関係数が0.76459以上ならば、1%の有意水準で母相関係数は0ではないことがわかります。
4.相関自体の強さは相関係数の絶対値が1に近いほど大きいと判断します。相関係数の検定はあくまでも母相関係数が0でない(すなわち相関が弱いとしてもある)ことを判断するだけです。一方、いくら相関係数が大きかったとしても、サンプル数が少ないために検定の結果、相関があるとはいえないという結果が得られたら、相関があるとはいえませんので、データをさらに増やす必要があります。