エクセルを用いた2つの独立した母集団から得た2つの標本平均に関する統計的検定

実験計画学のトップページへ戻る

トップ アイコン
トップページヘもどる

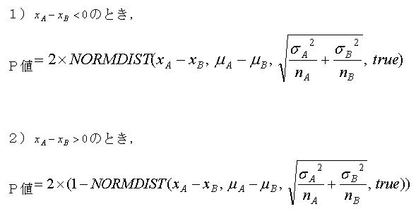
両側検定の場合,
片側検定の場合,